AQS (AbstractQueuedSynchronizer)是Java中用于实现同步器的抽象基类。
AQS主要用于实现锁和相关的同步器,如Semaphore、ReentrantLock等。它提供了一种灵活且强大的方式来构建线程安全的数据结构和算法。
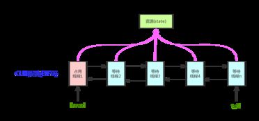
AQS核心的概念是“状态”和“阻塞队列”。每个AQS都有一个状态(state),线程通过AQS的API来改变这个状态。AQS还维护了一个阻塞队列,用于存放被阻塞的线程。
在AQS中,有两类方法:
以下是一个简单的AQS实现示例,实现了一个自定义的同步器:
```java
import java.util.concurrent.locks.AbstractQueuedSynchronizer;
public class MySync extends AbstractQueuedSynchronizer {
@Override
protected boolean tryAcquire(int arg) {
// 实现自定义的获取锁逻辑
return true;
}
@Override
protected boolean tryRelease(int arg) {
// 实现自定义的释放锁逻辑

return true;
}
}
```
在实际的开发中,我们可以基于AQS来构建适合特定场景的同步器,实现更加灵活和高效的同步机制。
如果你准备使用AQS来实现自定义的同步器,建议深入学习AQS的原理和用法,同时结合具体的业务需求来设计和实现同步机制。
版权声明:本文为 “联成科技技术有限公司” 原创文章,转载请附上原文出处链接及本声明;