qms工程师是什么意思
科普
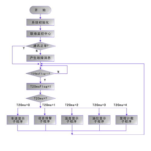
QMS编程:质量管理系统的自动化实现QMS(质量管理系统)是一个组织内部用于规划、实施和控制质量管理活动的框架。QMS编程指的是将质量管理系统的各项功能自动化实现,以提高效率、降低错误率,并支持持续改进。以下是关于QMS编程的一些基本信息。QMS编程的核心是依据组织的质量管理需求和流程,通过软件开发技术和编程实现各项质量管理活动的自动化。这包括但不限于: 质量计划的制定 质量数据收集和分析 质量审核和审核跟踪 不合格品处理和纠正措施 持续改进的管理和跟踪QMS编程的基本原理是将质量管理的各个环节通过软件工具连接起来,实现信息的流动和决策的支持。在QMS编程中,通常会使用各种技术和工具…
时间:2024年04月25日  |  阅读:118
关于 我们
免责声明:本网站部分内容由用户自行上传,若侵犯了您的权益,请联系我们处理,谢谢! 沪ICP备2023034384号-10
免责声明:本网站部分内容由用户自行上传,若侵犯了您的权益,请联系我们处理,谢谢! RSS订阅本站最新文章 沪ICP备2023034384号-10 网站地图